Note
Access to this page requires authorization. You can try signing in or changing directories.
Access to this page requires authorization. You can try changing directories.
Represents a 2D transformation that affects the scale of a visual along the x-axis and y-axis. The coordinate system is scaled from the specified center point.
Inheritance
The IDCompositionScaleTransform interface inherits from IDCompositionTransform. IDCompositionScaleTransform also has these types of members:
Methods
The IDCompositionScaleTransform interface has these methods.
| IDCompositionScaleTransform::SetCenterX Changes the value of the CenterX property of a 2D scale transform. |
| IDCompositionScaleTransform::SetCenterX Animates the value of the CenterX property of a 2D scale transform. |
| IDCompositionScaleTransform::SetCenterY Changes the value of the CenterY property of a 2D scale transform. |
| IDCompositionScaleTransform::SetCenterY Animates the value of the CenterY property of a 2D scale transform. |
| IDCompositionScaleTransform::SetScaleX Changes the value of the ScaleX property of a 2D scale transform. |
| IDCompositionScaleTransform::SetScaleX Animates the value of the ScaleX property of a 2D scale transform. |
| IDCompositionScaleTransform::SetScaleY Changes the value of the ScaleY property of a 2D scale transform. |
| IDCompositionScaleTransform::SetScaleY Animates the value of the ScaleY property of a 2D scale transform. |
Remarks
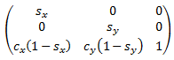
A scale transform represents the following 3-by-3 matrix:
The effect is to scale the coordinate system up or down and apply the corresponding translation such that the center point does not move.
Requirements
| Requirement | Value |
|---|---|
| Minimum supported client | Windows 8 [desktop apps only] |
| Minimum supported server | Windows Server 2012 [desktop apps only] |
| Target Platform | Windows |
| Header | dcomp.h |